Applied Animal and Plant Science Program
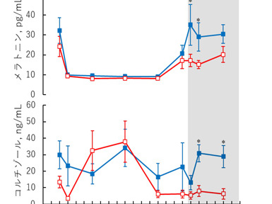
Comparison of milk production and endocrine profiles of dairy cows exposed to either white light-emitting diode or induction lighting
Applied Animal and Plant Science Program
Endotoxin-tolerant goats limit inflammation in the mammary gland
Food Science Program
Regulatory mechanism and physiological role of colonic Cyp2c55 expression
Applied Animal and Plant Science Program
Development of technology for rapid determination of mastitis-causing pathogens in dairy cows
Molecular Agro-life Science Program
Functional analysis of IL-10 in mast cell activation Is IL-10 a potential therapeutic agent for allergic diseases?
Applied Animal and Plant Science Program
Exogenous riboflavin (vitamin B2) application enhances salinity tolerance through the activation of its biosynthesis in rice seedlings under salinity stress
Applied Animal and Plant Science Program
Intravaginal injection of Lactobacillus johnsonii may modulates oviductal microbiota and mucosal barrier function of laying hens
Applied Animal and Plant Science Program
Development of optimal cryomedia for freezing of primordial germ cells in chicken
Integrative Hydrosphere Science Program
Confirmation of two infraspecific taxa of a coralline red alga described from Sri Lanka as independent species
Applied Animal and Plant Science Program
Effect of Repeated Intrauterine Infusion of Lipopolysaccharides on Mastitis in Goats
Applied Animal and Plant Science Program
Investigating mammary glands of lactating goats for the presence of tertiary lymphoid organs
Integrative Hydrosphere Science Program
Taxonomic reassessment of a calcifying red alga common to the Pacific Ocean with the discovery of a new species based on specimens collected by a Japanese researcher over 100 years ago
Molecular Agro-life Science Program
Janohigenins isolated from Ophiopogon japonicus seeds protect human neuroblastoma cells from rotenone-induced injury
Integrative Hydrosphere Science Program
Hitting two birds with one stone: Promoting biogas power generation and the restoration of bountiful oceans
Food Science Program
Novel functions of vitamin B6 beyond its general known nutritional value in regulating muscle satellite cells
Applied Animal and Plant Science Program
Healthy milk production by treating inflammation of mammary gland

Home
