広島大学大学院医系科学研究科 消化器内科学
診療准教授 河岡友和
Tel:082-257-5191 FAX:082-257-5194
E-mail:kawaokatomo@hiroshima-u.ac.jp
本研究成果のポイント
- 手術不能な肝細胞癌に対する薬物療法として薬物療法(Atezo/Bev療法)※1に、カテーテル治療(TACE療法)※2を追加することで治療効果が高まる可能性があることを発見しました。
概要
広島大学病院消化器内科の研究チームは、広島大学病院と広島県内8施設で行われた肝細胞癌の治療398例を対象に、薬物治療とカテーテル治療を併用することに関して後ろ向きに解析※3を行いました。その結果、二つの治療法を併用すると、治療開始から亡くなるまでの期間及び治療開始から腫瘍が増大するか亡くなるまでの期間が長くなることがわかり、治療効果が高まる可能性を発見しました。
このことは、学術誌「Liver Cancer」に掲載されました。
また、本研究は広島大学から論文掲載料の助成を受けています。
発表論文
■ 掲載誌:Liver Cancer(2025年12月)
■ 論文タイトル:Atezolizumab Plus Bevacizumab With Transcatheter Arterial Chemoembolization (Sandwich Strategy) versus Atezolizumab Plus Bevacizumab Alone in Hepatocellular Carcinoma: A Multicenter Retrospective Study
■ DOI:10.1159/000549979
■ 著者:Ko Hashimoto1, Tomokazu Kawaoka1*, Tomoaki Emori1, Aiko Tanaka1, Yuki Shirane1, Ryoichi Miura1, Yasutoshi Fujii1,2, Hikaru Nakahara3, Kenji Yamaoka1, Shinsuke Uchikawa1, Hatsue Fujino1, Atsushi Ono1, Eisuke Murakami1, Daiki Miki1, C. Nelson Hayes1, Akira Hiramatsu4, Kei Amioka5, Michihiro Nonaka6, Yasuyuki Aisaka6, Kei Morio7, Takashi Moriya7, Yuji Teraoka8, Hirotaka Kono8, Yosuke Suehiro9, Keiichi Masaki9, Kazuki Ohya10, Shintaro Takaki10, Nami Mori10, Keiji Tsuji10, Yumi Kosaka11, Takashi Nakahara11, Hiroshi Aikata11, Masataka Tsuge1, Shiro Oka1
1) Department of Gastroenterology, Graduate School of Biomedical and Health Sciences, Hiroshima University Hospital, Hiroshima 734-8551, Japan 2) Department of Clinical and Molecular Genetics, Genomic Medicine Center, Hiroshima University Hospital, Hiroshima 734-8551, Japan
3) Department of Clinical Oncology, Hiroshima University Hospital, Hiroshima 734-8551, Japan
4) Department of Gastroenterology, Hiroshima Memorial Hospital, Hiroshima, Japan
5) Department of Gastroenterology, NHO Higashihiroshima Medical Center, Hiroshima, Japan
6) Department of Gastroenterology, JA Hiroshima General Hospital, Hiroshima, Japan
7) Department of Gastroenterology, Chugoku Rosai Hospital, Hiroshima, Japan
8) Department of Gastroenterology, NHO Kure Medical Center and Chugoku Cancer Center, Hiroshima, Japan
9) Department of Gastroenterology, Hiroshima City North Medical Center Asa Citizens Hospital, Hiroshima, Japan
10) Department of Gastroenterology, Hiroshima Red Cross Hospital & Atomic-bomb Survivors Hospital, Hiroshima, Japan
11) Department of Gastroenterology, Hiroshima Prefectural Hospital, Hiroshima, Japan
*責任著者
背景
肝細胞癌は、生活習慣病やウイルス性肝炎などを原因として発症する癌で、手術をして癌を切除することが根治的な治療法として知られています。一方、さまざまな理由で癌を切除することができないこともあり、このような場合、手術の代わりに薬物療法を行うことがあります。薬物療法では多くの場合「アテゾリズマブ」という免疫力を高める薬と、「ベバシズマブ」という癌への栄養供給を断つ薬を併用すること(以下、Atezo/Bev療法)が一般的ですが、Atezo/Bev療法で行う治療は、その効果は限定的なものとなっています。
また、肝細胞癌に対する局所的な治療法の一つとして、カテーテルを使い癌に直接抗がん剤を注入する方法「TACE療法」があります。
これらの二つの治療法を組み合わせた新しい治療法が、近年提唱されています。
研究成果の内容
今回の研究では、広島大学病院と広島県内8施設で行われた肝細胞癌の治療398例のうち、Atezo/Bev療法のみで治療を行った例と、Atezo/Bev療法とTACE療法を併用した例、それぞれ49例ずつを比較しました。その結果、併用群では、全生存期間※4(治療開始から亡くなるまでの期間)と無増悪生存期間※5(病気が悪化しない期間)が、Atezo/Bev療法単独での治療群よりも長くなることが分かりました。さらに、副作用の発生率にも大きな差はなく、肝臓の機能も悪化していませんでした。つまり、Atezo/Bev療法にTACE療法を追加しても安全性は保たれ、治療効果が高まる可能性があることが分かりました。
以下、具体的な研究成果です。
・Atezo/Bev療法を開始した398例のうち、統計的なマッチングを行ったのちAtezo/Bev療法とTACE療法の併用群と、Atezo/Bev療法単独群をそれぞれ49例ずつ抽出しました。
・TACE併用群と単独群のOSとPFSを比較すると、どちらも有意差をもってTACE併用群で延長する結果でした。
・OSとPFSについて多変量解析※6を行い、それぞれに寄与する独立因子としてTACE療法併用の有無が抽出されました。
・TACE療法実施の有無において、有害事象の有意な増加はみられませんでした。
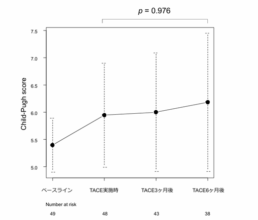
・TACE療法実施の前後において、肝予備能※7は保たれていました。
今後の展開
今回の研究では後方視的な解析のためすべてのバイアスを排除することは困難と思われます。現在、Atezo/Bev療法にTACE療法を併用することに関して多くの臨床研究が進行しており、その結果が待たれます。
用語解説
※1. アテゾリズマブ・ベバシズマブ併用療法(Atezo/Bev):免疫チェックポイント阻害薬※9のアテゾリズマブ(Atezo)と血管新生阻害剤※10のベバシズマブ(Bev)の併用療法は現在切除不能肝細胞癌の薬物療法における第一選択の一つとなっています。
※2. TACE療法:肝動脈化学塞栓術(transcatheter arterial chemoembolization:TACE):足の付け根の動脈からカテーテルを挿入し、肝臓内の腫瘍を栄養する細い動脈までカテーテルを進め、そこで抗癌剤とともに塞栓物質を注入し腫瘍細胞を壊死させる方法。
※3. 後ろ向きに解析:過去のデータを振り返って検討する研究方法。
※4. 全生存期間(Overall Survival:OS):治療開始から亡くなるまでの期間を測る指標のこと。
※5. 無増悪生存期間(Progression-Free Survival:PFS):治療開始から腫瘍が増大するか亡くなるまでの期間を測る指標のこと。
※6. 多変量解析:複数の要因が同時に結果へどのくらい影響しているかを解析する方法。
※7. 肝予備能:肝臓に必要な代謝・解毒・合成機能を維持できるかを示す指標のこと。Child-Pughスコアは肝硬変患者の重症度と予後を評価するために最も広く使われる評価法の一つ。
※8. 独立因子:多変量解析の結果、他の要因とは無関係に独立して結果に影響を与えると判断された因子。
※9. 癌細胞がリンパ球などの免疫細胞の攻撃を逃れる仕組みを解除することで免疫細胞の力を回復させ癌治療を行う薬剤のこと。
※10. 癌細胞が新しい血管を作って増加することを阻止する薬剤のこと。
参考資料
図1. Atezo/Bev TACE併用群とAtezo/Bev単独群の全生存期間と無増悪生存期間の比較
全生存期間(a)、無増悪生存期間(b)ともにAtezo/Bev TACE併用群において有意差をもって延長しました。
図2. OSとPFSに寄与する因子について多変量解析を行った結果
(a)OSに寄与する因子として単変量解析ではBCLC stage・脈管侵襲の有無・DCP(腫瘍マーカーの一つ)・TACEの有無が抽出され、多変量解析ではDCPとTACEの有無が独立因子※8として抽出されました。
(b)PFSに寄与する因子として単変量解析では治療ライン・TACEの有無が抽出され、多変量解析でもどちらも独立因子として抽出されました。
図3. Atezo/Bev TACE併用群におけるTACE前後の肝予備能の推移
ベースラインからTACE実施時までは肝予備能は軽度悪化していますが、TACE実施の前後ではChild-Pughスコアの悪化は認めませんでした。
このプロジェクトの一部は、日本学術振興会のJ-PEAKS※の支援を受けており、広島大学では今後も、本支援により臨床研究を推進していきます。
※ J-PEAKS(地域中核・特色ある研究大学強化促進事業): 地域の中核大学や研究の特定分野に強みを持つ大学が、その強みや特色のある研究力を核とした戦略的経営の下、 他大学との連携等を図りつつ、研究活動の国際展開や社会実装の加速等により研究力強化を図る環境整備を支援することにより、我が国全体の研究力の発展を牽引する研究大学群の形成を推進することを目的としています。

Home
